Home
About
About Us
Principal/Medical SUPTD
Management
Faculty List
Administrative Information
Non Teaching Staff
Courses
UG
PG
Panchakarma
Students
Admission
Student Details
Student Matters
Student Support
Result Details
Application Form
Academic Calendar
Departments
Links
Facilities
Research and Development
Publications
CME
Gallery
Forms
Blog
Useful Links
Contact Us
Home
About
About Us
Principal/Medical SUPTD
Management
Faculty List
Administrative Information
Non Teaching Staff
Courses
UG
PG
Panchakarma
Students
Admission
Student Details
Student Matters
Student Support
Result Details
Application Form
Academic Calendar
Departments
Departments
Facilities
Empannelment
Treatments
Links
Facilities
Research and Development
Publications
CME
Gallery
Forms
Blog
Useful Links
Contact Us
Application Forms
Download all types of application forms for various courses and programs
ALL TYPES OF APPLICATION FORMS
forms
BAMS Application Form
Go to Form
Panchakarma Application Form
Go to Form
PG Ayurveda Application Form
Go to Form
Form
Go to Form
Application for Panchakarma - University of Kerala
Go to Form
Application for Ayurveda Nursing/Therapist
Go to Form
Application for Ayurveda Panchakarma/Masseur
Go to Form
Application for Ayurveda Yoga/Meditation
Go to Form
Student Registration - KUHS
Go to Form
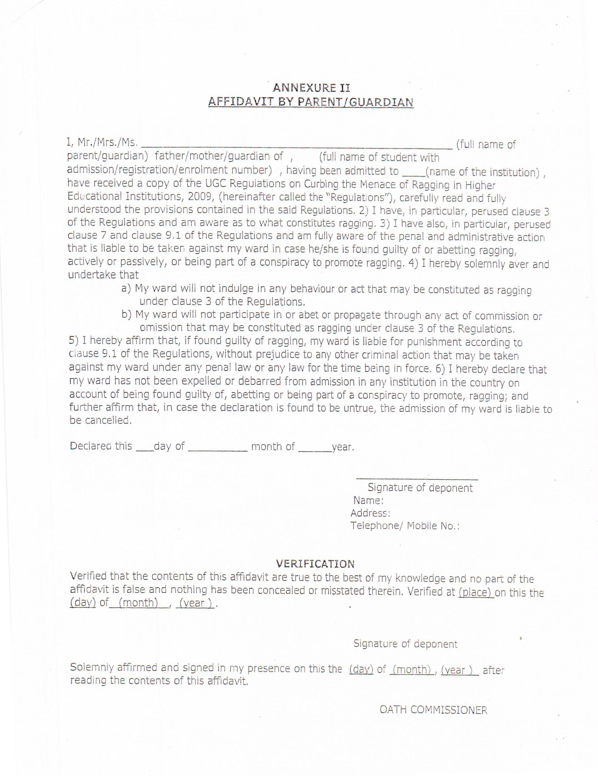
Affidavit of Anti Ragging for Guardian
Go to Form
Affidavit of Anti Ragging for Student
Go to Form
BAMS
Go to Form